The Instructure Community will enter a read-only state on November 22, 2025 as we prepare to migrate to our new Community platform in early December. Read our blog post for more info about this change.
Hi,
I am having some troubles with writing formulas on a standard Canvas page. I use the "insert formula" option, I write in it Latex, the preview looks fine but then, when the formulas gets inserted in the page, its resolution drops dramatically, and the bad part in it is that some minus signs disappear! This is not only annoying, but the formulas look actually wrong. See the screenshot in the example
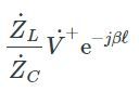
This is the preview:
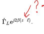
And here some example of the minus sign disappearing
I guess it depends on the resolution of the formula when it is embedded on the webpage. Does anyone know a solution for this?
I was helping a teacher with a similar issue and from what I recall we updated the browser and then cleared out the browser cache (this was Chrome) and then it worked. Worth a try!
Community helpTo interact with Panda Bot, our automated chatbot, you need to sign up or log in:
Sign inTo interact with Panda Bot, our automated chatbot, you need to sign up or log in:
Sign in
This discussion post is outdated and has been archived. Please use the Community question forums and official documentation for the most current and accurate information.