The Instructure Community will enter a read-only state on November 22, 2025 as we prepare to migrate to our new Community platform in early December. Read our blog post for more info about this change.
@wli40 Yes, you can just paste the LaTex in the equation editor and it will do the converting. There was a period a few months ago where this was broken and it was doing a mixture of weird HTML and LaTeX but it has since been fixed. We have more people than I thought would actually using it.
@nwilson7 Thanks. Do instructors have to use New Quizzes for using LaTex?
No, anywhere the equation editor is, it can be used.
I have noticed today some very odd behaviour with LaTex.
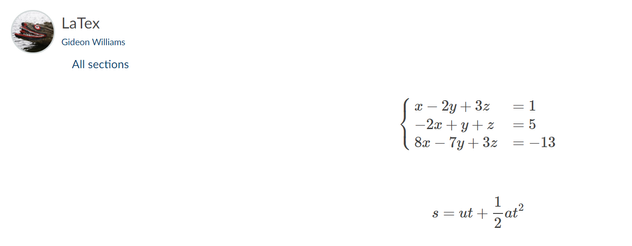
I cannot copy LaTex formula as I would normally write them outside of Canvas
This is what happens -
However, if I add $$ or \( deliminators around JUST ONE of the LaTex eg
It then coverts BOTH to readable format:
Am at a complete loss to know why???
Also, have a read of the Question I asked about Migrating LaTex in Classic Quizzes to New Quizzes - https://community.canvaslms.com/t5/Question-Forum/Migrating-LaTex-formula-from-Classic-Quiz-to-New-Q...
Community helpTo interact with Panda Bot, our automated chatbot, you need to sign up or log in:
Sign inTo interact with Panda Bot, our automated chatbot, you need to sign up or log in:
Sign in
This discussion post is outdated and has been archived. Please use the Community question forums and official documentation for the most current and accurate information.