When migrating a classic quiz with LaTex formulas to New Quizzes, the LaTex formulas are converted into images and are no longer editable.
When writing a LaTex syntax in the formula editor in Classic quizzes you do not need to include the surrounding \( and \) code brackets eg

If you do then it looks like this and does not produce a suitable equation

When you migrate a question with LaTex (written without the extra brackets) into New Quizzes, it becomes an image and uneditable:

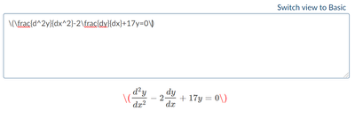
When I write the LaTex syntax in New quizzes - this is what I have to write to get it accepted:


So for some reason, you have to add in an extra pair of code brackets around the LaTex for it to be read in New Quizzes but you dont in Classic Quizzes.
Do Classic quizzes and New quizzes use different equation editors?
Anyone help?