Add \overline to Math to Basic Math Equation Editor

This idea has been developed and deployed to Canvas

 

I am resubmitting part of an idea that was proposed last month by Glenn Johnson, Place x-bar and p-hat on the Equation Editor toolbar.

 

I teach introductory statistics and one of the most common symbols that we use is an x with a bar over it, the symbol for a sample mean.

 

Currently, this symbol can only be created in the advanced equation editor:

 

206393_Screen Shot 2016-10-23 at 6.42.46 PM.pngScreen Shot 2016-10-23 at 6.42.46 PM.png

 

 

This requires knowledge of LaTeX.  The vast majority of my students are not statistics majors so they have no experience with LaTeX and it's really extraneous to the course so I don't want to spend too much time teaching it to them.

 

It would be awesome if the \overline function was added to the basic equation editor which is easier for students to use.

43 Comments
KYLEZIMMERMANN
Community Member

The equation editor does not allow you to write a number with a overhead script. For example, 1/3 is represented as .3 repeating but with a bar above. To get around this I had to important images for answer choices! Please get around for all math teachers  everywhere

VHDL2STA
Community Member

I totally agree that the Canvas Math Editor needs to be improved. Yes it is possible to get repeating 3 with a LaTeX command in the MathJax Canvas Advanced Math Editor. But not every teacher wants to learn the cryptic LaTeX syntax. And for sure students should not be forced to learn the cryptic LaTeX syntax. Yes you can import the app called MathType into the Canvas Rich Content Editor but this inclusion requires an addition subscription cost. Several weeks ago I gave a webinar at my college on the weaknesses of the Canvas Math Editor. This webinar contains many user friendly workarounds that overcome the Canvas Math Editor's reliance on LaTeX and do not require a subscription to MathType. Here is the link to my webinar.  https://palmbeachstate-elearning.mediaspace.kaltura.com/media/Canvas+Math+EditorA+The+Good%2C+the+Ba....  It should be well noted that the Blackboard editor has a powerful math editor which will give you everything that you need. This terrific Blackboard Math Editor is also available in the Blackboard email environment which is very useful when responding to student email questions. Canvas does not even have its Rich Content Editor in the Canvas email environment which is another weakness that needs to be resolved. I was not aware of these major Canvas weaknesses when I voted to switch from Blackboard to Canvas. The Canvas sales force gave an excellent demo of Canvas features. So I erroneously believed that if Canvas can implement these neat features then surely Canvas can implement the Blackboard Math Editor and email features as well. Looks like I was wrong. I already filed a ticket with Canvas to improve the Canvas Math Editor. Hopefully with many teachers requesting that the Canvas Math Editor be improved then this required feature enhancement will be implemented. LaTeX should not be required to be learned by teachers and students!

KristinL
Community Team
Community Team
Status changed to: On Beta
  Comments from Instructure

 

For more information, please read through the Canvas Release Notes (2022-03-19).

James
Community Champion

Just in case someone is asking, I do not see the \overline in the toolbar for the March 2022 update. I'm assuming the update is referenced here because Canvas thinks they improved the editor.

dlyons
Instructure Alumni
Instructure Alumni

I appreciate you keeping us honest, @James! You're right that the overline and hat don't appear in beta yet but they will in the next beta deploy and before this change goes to production. And as they say: pics or it didn't happen. 😉

Screen Shot 2022-02-23 at 1.58.48 PM.png  

James
Community Champion

David ( @dlyons )

Thanks for clarifying.

Allow me to clarify. My italicized thinks modified the "improved" not the lack of the \overline. It was because of the other problems with the new equation editor that make it worse than the old one.

Right now, I have to enter the \overline manually, but it doesn't display correctly in the preview. If I turn off the Direct editing, then it shows properly.

2022-02-25_22-35-01.png  vs  2022-02-25_22-35-14.png

I will also give props for the ability to directly enter LaTeX and the autocomplete even when you're not directly entering LaTeX.

2022-02-25_22-39-54.png

However, the dialog is too easy to accidentally close. If you accidentally click out of the dialog, it closes and there's no way to get it back.

In the direct edit mode, selecting by dragging and then releasing the mouse button while outside the dialog box (I frequently drag right to left to select all and go past the edge of the dialog box) will [sometimes] close the dialog box. It does not do this when the direct entry checkbox is unselected.

This problem exists in other places as well. If I am inserting an external link and select text and release the mouse past the edge of the dialog box, it closes. It seems like there were some other places it occurred as well. That makes me suspect it may be an artifact of using the InstUI dialog box and not the equation editor specifically.

Clicking outside of a dialog box should not close it. Clicking Done or Cancel should close it.

I don't report these as bugs because I don't use the equation editor anymore now that you support entering LaTeX via \( and \) anywhere and so it doesn't directly affect me. However, it would be nice if the mobile apps supported that.

VHDL2STA
Community Member

James,

You wrote "I don't report these as bugs because I don't use the equation editor anymore now that you support entering LaTeX via \( and \) anywhere and so it doesn't directly affect me. However, it would be nice if the mobile apps supported that."

The theme of my original post regarding the Canvas Math Editor emphasized that using LaTex to create math symbols and expressions is not a friendly medium for the typical college and K-12 students and math instructors.

Consider the following cryptic LaTex code. Neither I nor my students want to spend time learning LaTex.

f(x) = \left\{

         \begin{array}{lr}

         1+x & \text{if } x < 3\\

          2 & \text{if } x=3\\

          1-x & \text{if } x >3

        \end{array}

        \right.

Also consider the following math expressions. Perhaps you can quickly write the LaTex code for these math expressions but I doubt if any of my students can and for sure my students will wonder why they would have to learn cryptic LaTex code when they are not planning to write PHD dissertations in math journals some of which do require LaTex.

 

Angle_Between_Vectors.jpg

C_I_proportion.jpg

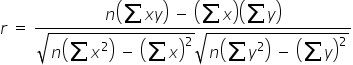
Cor_Coeff.jpg

Matrix_1.jpg

 

 

Value_of_Deriv.jpg

 

Vector_Decomposition_wrt_Line.jpg

I have a lot of background in programming in register transfer languages, assembly code, and high level languages. Writing LaTex is worse that writing in assembly code. Recall the early word processors that used cryptic keyboard command sequences. Thankfully current word processors use pull down menus. These pull down menus are very user friendly and ensure the success and longevity of such word processors. Keyboard short cuts are still available for the basic word processing commands but there are no such short cuts for complex word processing operations. By the way I never use the shortcuts. It is faster for me to use pull down menus. I live in the modern world and expect pull down menus to enhance my productivity.

So what do I want? And what do my students want? We want a math editor that is similar to the math editor that is available in Microsoft Word and PowerPoint which is WhatYouSeeIsWhatYouGet (WYSIWYG)

James
Community Champion

@VHDL2STA 

I did not say that there should not be a graphical interface. I said was that I don't use the graphical interface now that support for direct entry of LaTeX is available and so I don't feel like I should be the one who reports the problems as a bug.

VHDL2STA
Community Member

Yes I understood that you do not use the graphical interface because you are proficient with LaTex. Great!! 

By the way how quickly were you able to write the LaTex code for each of the math expressions in my previous post? I am curious.

KristinL
Community Team
Community Team
Status changed to: Complete
Comments from Instructure

 

For more information, please read through the Canvas Release Notes (2022-03-19)